Forum Discussion
Thong_196816
Nimbostratus
Jul 22, 2015additional VIP and new nodes
Hi,
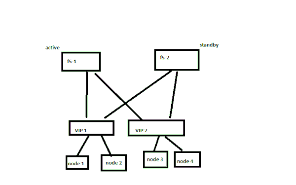
currently, active-standby f5 already configured 1 VIP 10.1.7.72 with 2 pool members (node1, node2) in vlan20
can create another VIP 10.1.7.73 with 2 DIFFERENT pool members (node3, node4) in the same vlan 20?
1 Reply
- Matt_Dierick
Employee
Sure
Help guide the future of your DevCentral Community!
What tools do you use to collaborate? (1min - anonymous)Recent Discussions
Related Content
DevCentral Quicklinks
* Getting Started on DevCentral
* Community Guidelines
* Community Terms of Use / EULA
* Community Ranking Explained
* Community Resources
* Contact the DevCentral Team
* Update MFA on account.f5.com
Discover DevCentral Connects